关于海藻糖药用辅料标准草案的公示
来源:国际制剂网
海藻糖
Haizaotang
Trehalose

C12H22O11 342.30 [99-20-7]
C12H22O11.2H2O 378.33 [6138-23-4]
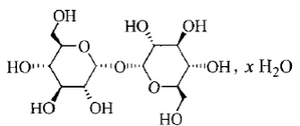
本品由食用级淀粉酶解而成。为两个吡喃环葡萄糖分子以 1,1-糖苷键连接而成的非还原性双糖。可分为无水物和二水合物。按无水物计算,含 C12H22O11 应为 98.0%~102.0%。
【性状】 本品为白色或类白色结晶性粉末。
无水海藻糖在水中易溶,在甲醇或乙醇中几乎不溶。二水海藻糖在水中易溶,在甲醇中微溶,在乙醇中几乎不溶。
比旋度 取本品,精密称定,加水溶解并定量稀释制成每 1ml 中约含 100mg 的溶液,依法测定(通则 0621),比旋度为+197°至+201°。
【鉴别】
(1)取本品 2g,加水 5ml 使溶解,取 1ml,加 α-萘酚乙醇溶液(1→20)0.4ml, 沿容器壁缓慢加入硫酸 0.5ml,溶液即在两液界面处产生紫色环。
(2)取本品 0.2g,加水 5ml 溶解,作为供试品溶液;取甘氨酸 0.2g,加水 5ml 溶解,作为甘氨酸溶液。量取供试品溶液 2ml,加入稀盐酸 1ml,室温静置 20 分钟;再加入氢氧化钠试液 4ml 和甘氨酸溶液 2ml,于水浴中加热 10 分钟后,溶液不显棕色。
(3)在含量测定项下记录的色谱图中,供试品溶液主峰的保留时间应与对照品溶液的主峰保留时间一致。
(4)本品的红外光吸收图谱应与对照品的图谱一致(通则 0402)。
【检查】酸度 取本品 1.0g(按无水物计算),加水 10ml 使溶解,依法测定(通则 0631), pH 值应为 4.5~6.5。
溶液的澄清度与颜色 取本品 33.0g(按无水物计算),置 100ml 量瓶中,加新沸放冷的水充分振荡使溶解,照紫外-可见分光光度法(通则 0401),在 420nm 与 720nm 波长处测定吸光度。在 720nm 波长处的吸光度值不得过 0.033,420nm 与 720nm 波长处的吸光度差值不得过0.067。
氯化物 取本品 0.40g,依法检查(通则 0801),与标准氯化钠溶液 5.0ml 制成的对照液比较,不得更浓(0.0125%)。
硫酸盐 取本品 1.0g,依法检查(通则 0802),与标准硫酸钾溶液 2.0ml 制成的对照液比较,不得更浓(0.020%)
可溶性淀粉 取本品 1.0g,加水 10ml 溶解后,加碘试液 1 滴,不得显蓝色。
有关物质 取本品适量,精密称定,加水溶解并定量稀释制成每 1ml 中约含 10mg 的溶液, 作为供试品溶液。
精密量取 1ml,置 100ml 量瓶中,用水稀释至刻度,摇匀,作为对照溶液。
照含量测定项下的色谱条件。取对照溶液 20μl,注入液相色谱仪,记录色谱图,主成分峰高的信噪比应大于 10;再精密量取供试品溶液和对照溶液各 20μl,分别注入液相色谱仪,记录色谱图。供试品溶液色谱图中,除溶剂峰外,供试品溶液主峰之前、之后的杂质峰面积之和分别不得大于对照溶液主峰面积的 0.5 倍(0.5%)。
水分 取本品,照水分测定法(通则 0832 第一法)测定,含水分应为 9.0%~11.0%;如为无水物,含水分不得过 1.0%。
炽灼残渣 取本品,依法检查(通则 0841),遗留残渣不得过 0.1%。
重金属 取本品 4.0g,加水 23ml 溶解后,加醋酸盐缓冲液(pH3.5)2ml,依法检查(通则
0821 第一法),含重金属不得过百万分之五。
微生物限度 取本品,依法检查(通则 1105 与通则 1106),每 1g 供试品中需氧菌总数不得过 103cfu,霉菌和酵母菌总数不得超过 102cfu,不得检出大肠埃希菌;每 10g 供试品中不得检出沙门菌。
细菌内毒素(供注射用) 取本品,依法检查(通则 1143),每 1 mg 海藻糖中含内毒素的量应小于 0.05EU。
【含量测定】照高效液相色谱法(通则 0512)测定。
色谱条件与系统适用性试验 采用磺化交联的苯乙烯-二乙烯基苯共聚物为填充剂的强阳离子钠型(或氢型)色谱柱;以水为流动相;流速为每分钟 0.4ml;柱温为 80℃;示差折光检测器。取麦芽三糖、葡萄糖与海藻糖对照品适量,加水溶解并稀释制成每 1ml 中各含有 2.5mg、2.5mg、10mg 的溶液,精密量取 20μl 注入液相色谱仪,重复进样 3 次,记录色谱图,主峰面积的相对标准偏差不得过 2.0%,各色谱峰的分离度应符合要求。
测定法 取本品适量,精密称定,加水溶解并定量稀释制成每 1ml 中约含 C12H22O1110mg 的溶液,作为供试品溶液,精密量取 20μl 注入液相色谱仪,记录色谱图;另取海藻糖对照品适量,同法测定。按外标法以峰面积计算,即得。
【类别】药用辅料,矫味剂、甜味剂、冷冻干燥辅料冻干保护剂、稀释剂、增稠剂和保湿剂等。
【贮存】密封、阴凉、干燥处保存。
【标示】如为供注射用,应标明氮含量,用以对产品中酶残留量进行评估。
附:氮含量测定方法 取本品 5.0g,精密称定,置于消解瓶中,加入 30ml 浓硫酸消解后,照氮测定法(通则 0704 第三法)操作,加入 40%(w/v)的氢氧化钠溶液 45ml 进行蒸馏。
起草单位:中国食品药品检定研究院 联系电话:010-67095606
复核单位:上海市食品药品包装材料测试所,山西省检验检测中心
海藻糖质量标准起草说明
一、红外鉴别
本品分为无水物和二水物,红外图谱有差异。因此应注意使用相应的标准物质,目前二者的对照品均已发放。
二、有关物质
将进样量由 10μl 修订为 20μl,与含量测定项下进样量一致。
三、标示
参考 USP43/NF38 和 JP17,增加了氮含量项目,以控制产品中残留的酶。目前残留酶量值达到多少会产生活性从而对生物制剂产生影响尚不确定,因此暂不设统一的规定限度,而是以标示项的形式纳入标准中,由制剂企业根据自己产品的实际情况进行选择。标示项后附氮含量测定方法。
四、类别
参考中国药典四部通则 0251,将类别中“冷冻干燥辅料”修订为“冻干保护剂”。
